How money works in a nation?





All of this– Money Demand+ Supply+ Creation requires banks as intermediaries to operate.
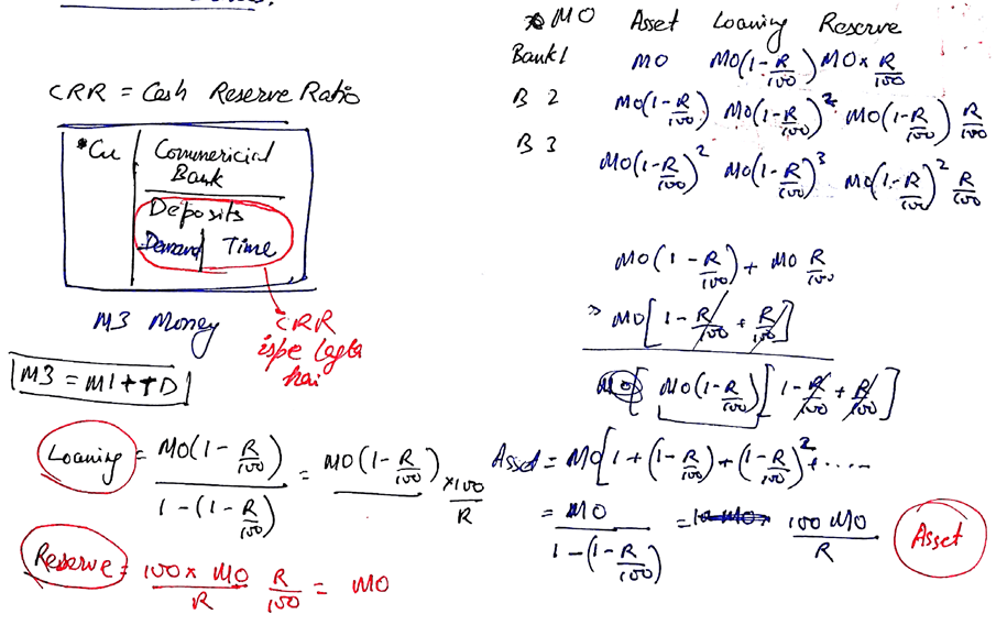
We need to learn about CRR, SLR and other ratios.
CORONA kand
CRR–> from 2014- 2019– 4% of NDTL
CRR–> 2020– 3% as 5% GDP growth fall hitting a 6 year low
CRR exemption–> loans given under
- Retail loan in automobile
- Residential housing mortgage
- MSMEs
for spcfc time will be deducted from NDTL for next 5 yrs thus decreasing total CRR value

MOney Supply (M1,M3) increases with
- Money multiplier and / or Velocity of money increases.
- RBIβs asset side increases e.g. Government borrowing more from RBI using G-sec or increase in RBIβs foreign securities.
- Increase in banking penetration, financial inclusion, formalization of economy, Boom period, whenever loan demand increases.
- RBI adopts Cheap / Easy / Dovish / Expansionary monetary policy to combat deflation.
- Currency Deposit Ratio (CDR)= ratio of (money held by the public) divided by (publicβs deposit in banks).
- Reserve Deposit Ratio (RDR)= A commercial bankβs (A) vault cash + (B) its deposits with RBI such as CRR

Quantitative tools
CORONA kand–>
Repo rate was decreased from 5.15% from Feb 2020–> 4% why??–>Inflation was controlled therefore to boost Growth.

Operation Twist
Qualitative tools



























